Motion Planning
Wolfgang Hönig
January 31, 2025
% vectors % custom math commands %
We have:
Motion Planning: given start state \(\mathbf{x}_s\) and goal state \(\mathbf{x}_g\), find a sequence of states and actions that are collision-free, obey the robot dynamics, start at \(\mathbf{x}_s\) and end at \(\mathbf{x}_g\)
\[ \begin{align} \mathop{\mathrm{argmin}}_{T, \mathbf{u}(t), \mathbf{x}(t)} \quad J(T, \mathbf{u}(t), \mathbf{x}(t)) \quad \text{s.t.}\\ \mathbf{x}(0) = \mathbf{x}_{s} \quad \mathbf{x}(T) = \mathbf{q}_{g}\\ \mathcal{B}(\mathbf{x}(t)) \subset \mathcal{W}_{free} \quad \forall t \in [0, T]\\ \dot{\mathbf{x}}(t) = \mathbf{f}(\mathbf{x}(t), \mathbf{u}(t)) \quad \forall t \in [0, T) \end{align} \]
Path planning (or sometimes geometric planning ignores the dynamics constraint \(\dot{\mathbf{x}}(t) = \mathbf{f}(\mathbf{x}(t), \mathbf{u}(t))\) (and thus becomes independent of time).
Build a graph that keeps track of cost-to-come and cost-to-go. For motion planning: edges are state sequences that follow the dynamics (e.g., left turn).
Sample random states and try to connect them to existing states.
Solve a convex or nonlinear program that directly or indirectly encodes the motion planning problem.
All three (and hybrid variants) are relevant for flying robots.
Differentially Flat System
A robot with dynamics \(\dot{\mathbf{x}} = \mathbf{f}(\mathbf{x}, \mathbf{u})\) is differentally flat if we can find flat outputs \(\mathbf{z}(t)\) such that: \[\begin{align*} \mathbf{x}(t) &= g_q(\mathbf{z}, \dot{\mathbf{z}}, \ddot{\mathbf{z}}, \ldots)\\ \mathbf{u}(t) &= g_u(\mathbf{z}, \dot{\mathbf{z}}, \ddot{\mathbf{z}}, \ldots). \end{align*}\] That is, we can compute the configuration and action sequence from \(\mathbf{z}(t)\) and a finite number of derivatives of \(\mathbf{z}(t)\).
Pick flat output of position and yaw: \(\mathbf{z}= [\mathbf{p}, \psi]^\top\), i.e., we need \(\mathbf{p}, \dot{\mathbf{p}}, \ddot{\mathbf{p}}, \dddot{\mathbf{p}}, \ddddot{\mathbf{p}}, \psi, \dot{\psi}, \ddot{\psi}\)
Dynamics with \(\mathbf{R}\): \[\begin{align} &\dot{\mathbf{p}} = \mathbf{v}, && m\mathbf{\dot{v}} = m\mathbf{g} + f \mathbf{R} \mathbf{e}_3,\\ &\dot{\mathbf{R}} = \mathbf{R}\boldsymbol{\hat{\omega}}, && \mathbf{J}\dot{\boldsymbol{\omega}} = \mathbf{J}\boldsymbol{\omega}\times \boldsymbol{\omega}+ \boldsymbol{\tau}_u, \end{align}\]
Our flat outputs already contain \(\mathbf{p}\) and \(\mathbf{v}\). We need to find expressions for other states (\(\mathbf{R}, \boldsymbol{\omega}\)) and actions (\(f\), \(\boldsymbol{\tau}_u\))
Approach: select rotation, such that \(m\mathbf{\ddot{p}} = m\mathbf{g} + f \mathbf{R} \mathbf{e}_3\) is true
\[ \begin{align} \mathbf{x}_c &= \begin{bmatrix} \cos(\psi) & \sin(\psi) & 0\end{bmatrix}^\top\\ \mathbf{y}_c &= \begin{bmatrix} -\sin(\psi) & \cos(\psi) & 0\end{bmatrix}^\top\\ \mathbf{x}_b &= n(\mathbf{y}_c \times (\ddot{\mathbf{p}} - \mathbf{g}))\\ \mathbf{y}_b &= n((\ddot{\mathbf{p}} - \mathbf{g}) \times \mathbf{x}_b)\\ \mathbf{z}_b &= \mathbf{x}_b \times \mathbf{y}_b \end{align} \]
\(\mathbf{R}= \begin{bmatrix} \mathbf{x}_b & \mathbf{y}_b & \mathbf{z}_b \end{bmatrix}\) (a function of \(\ddot{\mathbf{p}}, \psi\))
Conceptually the same as in controls lecture. Slight change, because we’ll use the temporary variables later.
Approach: solve \(m\mathbf{\ddot{p}} = m\mathbf{g} + f \mathbf{R} \mathbf{e}_3\) for \(f\)
\[ \begin{align} c &= \mathbf{z}_b^\top (\ddot{\mathbf{p}} - \mathbf{g})\\ \end{align} \]
\(f = m c\) (a function of \(\ddot{\mathbf{p}}, \psi\))
Approach: compute time-derivative of \(m\mathbf{\ddot{p}} = m\mathbf{g} + f \mathbf{R} \mathbf{e}_3\), use \(\dot{\mathbf{R}} = \mathbf{R}\hat{\boldsymbol{\omega}}\), solve for \(\boldsymbol{\omega}\)
\[ \begin{align} d_1 &= \mathbf{x}_b^\top \dddot{\mathbf{p}} & d_2 &= -\mathbf{y}_b^\top \dddot{\mathbf{p}} \\ b_3 &= -\mathbf{y}_c^\top \mathbf{z}_b & c_3 &= \| \mathbf{y}_c \times \mathbf{z}_b \|& d_3 &= \dot \psi \mathbf{x}_c^\top \mathbf{x}_b\\ \omega_x &= \frac{d_2}{c} & \omega_y &= \frac{d_1}{c} & \omega_z &= \frac{c d_3 - b_3 d_1}{c c_3} \end{align} \]
\(\boldsymbol{\omega}= \begin{bmatrix} \omega_x & \omega_y & \omega_z \end{bmatrix}^\top\) (a function of \(\ddot{\mathbf{p}}, \dddot{\mathbf{p}}, \psi, \dot{\psi}\))
Note that \(\omega_z\) is wrong in (Mellinger and Kumar 2011) and in our controls lecture. Details are in (Faessler, Franchi, and Scaramuzza 2018) (Appendix A).
Approach: differentiate \(m\mathbf{\ddot{p}} = m\mathbf{g} + f \mathbf{R} \mathbf{e}_3\) twice, solve for \(\dot{\boldsymbol{\omega}}\)
\[ \begin{align} \dot{c} &= \mathbf{z}_b^\top \dddot{\mathbf{p}}\\ e_1 &= \mathbf{x}_b^\top \ddddot{\mathbf{p}} - 2\dot{c} \omega_y - c \omega_x \omega_z\\ e_2 &= -\mathbf{y}_b^\top \ddddot{\mathbf{p}} - 2\dot{c} \omega_x + c \omega_y \omega_z\\ e_3 &= \ddot{\psi} \mathbf{x}_c^\top \mathbf{x}_b + 2 \dot{\psi} \omega_z \mathbf{x}_c^\top \mathbf{y}_b - 2 \dot{\psi} \omega_y \mathbf{x}_c^\top \mathbf{z}_b - \omega_x \omega_y \mathbf{y}_c^\top \mathbf{y}_b - \omega_x \omega_z \mathbf{y}_c^\top \mathbf{z}_b\\ \end{align} \] \[ \begin{align} \dot{\omega}_x &= \frac{e_2}{c}& \dot{\omega}_y &= \frac{e_1}{c}& \dot{\omega}_z &= \frac{c e_3 - b_3 e_1}{c c_3}\\ \end{align} \]
\(\dot{\boldsymbol{\omega}} = \begin{bmatrix} \dot{\omega}_x & \dot{\omega}_y & \dot{\omega}_z \end{bmatrix}^\top\) (a function of \(\ddot{\mathbf{p}}, \dddot{\mathbf{p}}, \ddddot{\mathbf{p}}, \psi, \dot{\psi}, \ddot{\psi}\))
Note that this was missing in the controls lecture.
Approach: apply derived \(\boldsymbol{\omega}\) and \(\dot{\boldsymbol{\omega}}\) to dynamics
\(\boldsymbol{\tau}_u = \mathbf{J}\dot{\boldsymbol{\omega}} - \mathbf{J}\boldsymbol{\omega}\times \boldsymbol{\omega}\) (a function of \(\ddot{\mathbf{p}}, \dddot{\mathbf{p}}, \ddddot{\mathbf{p}}, \psi, \dot{\psi}, \ddot{\psi}\))
How does this help for kinodynamic motion planning?
We can plan a trajectory for \(\mathbf{z}(t)\). By applying \(\mathbf{g}_q\) and \(\mathbf{g}_u\), we can compute the state and action sequences for the original motion planning problem!
If \(\mathbf{z}(t)\) is lower-dimensional than \(\mathbf{x}(t), \mathbf{u}(t)\), the planning problem is simplified.
Polynomial
\[ p(t) = a_0 + a_1 t + a_2 t^2 + \ldots + a_n t^n = \sum_{k=0}^n a_k t^k \]
What are the values at \(t=0\) and \(t=1\)? What are \(\dot{p}(0), \dot{p}(1)\)
\[ \begin{align} p(0) &= a_0 & p(1) &= a_0 + a_1 + a_2 + a_3\\ \end{align} \]
\[ \begin{align} \dot{p}(t) &= a_1 + 2 a_2 t + 3 a_3 t^2 & \dot{p}(0) &= a_1 & \dot{p}(1) &= a_1 + 2 a_2 + 3 a_3\\ \ddot{p}(t) &= 2a_2 + 6 a_3 t & \ddot{p}(0) &= 2 a_2 & \ddot{p}(1) &= 2a_2 + 6 a_3\\ \dddot{p}(t) &= 6 a_3 & \dddot{p}(0) &= 6 a_3 & \dddot{p}(1) &= 6 a_3 \end{align} \]
Assume we represent the trajectory using polynomial splines.
What is the acceleration cost?
\[ \begin{align} J &= \int_{t=0}^1 \ddot{p}(t) dt\\ &= \int_{t=0}^1 2a_2 + 6 a_3\\ &= \left. 2 a_2 t + 3 a_3 t^2 \right|_{t=0}^1\\ &= 2 a_2 + 3 a_3 \end{align} \]
Let’s try to connect 3 numbers \(x_1, x_2, x_3 \in \mathbb R\) using 2 cubic polynomials (with coefficients \(a\) and \(b\)):
\[ \begin{align} \mathop{\mathrm{argmin}}_{a_0, a_1, a_2, a_3, b_0, b_1, b_2, b_3} \quad J_a + J_b \quad \text{s.t.}\\ p_a(0) = x_1\\ p_a(1) = x_2\\ p_b(0) = x_2\\ p_b(1) = x_3\\ \dot{p}_a(1) = \dot{p}_b(0)\\ \ddot{p}_a(1) = \ddot{p}_b(0) \end{align} \]
Demo: cubicspline2d.py
Assume we have a desired rotation \(\mathbf{R}_d\) at a certain time:
Constrain acceleration to: \[ \mathbf{\ddot{p}} = \mathbf{g} + r \mathbf{R}_d \mathbf{e}_3, \text{ where } r \in \mathbb R_+ \]
\[ p(t) = \sum_{k=0}^n a_k t^k \;\; t\in[0,1] \]
Consider a time horizon \(T\), i.e., \(t\in [0, T]\): \[ \tilde{p}(t) = \sum_{k=0}^n a_k \left(\frac{t}{T}\right)^k = \sum_{k=0}^n \frac{a_k}{T^k} t^k = \sum_{k=0}^n \tilde{a}_k t^k \text { where } \tilde{a}_k = \frac{a_k}{T^k} \]
Time derivative for cubic spline: \[ \tilde{p}'(t) = \tilde{a}_1 + 2 \tilde{a}_2 t + 3 \tilde{a}_3 t^2 = \frac{a_1}{T} + 2 \frac{a_2}{T^2} t + 3 \frac{a_3}{T^3} t^2 \]
The derivative gets smaller for \(T > 1\): \(\lim_{T\to\infty} \tilde{p}'(t) = 0\)
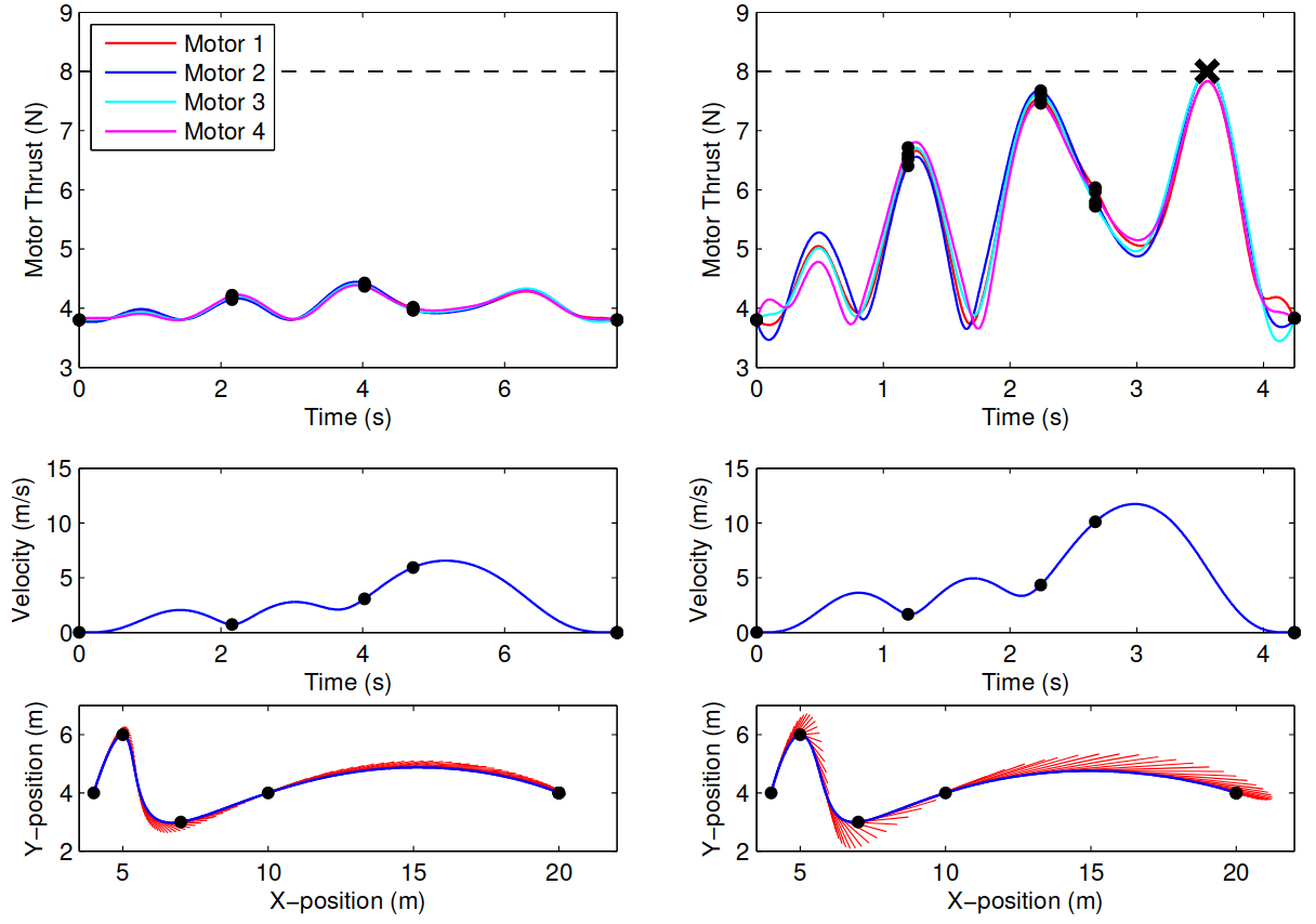
def temporalScaling():
z(t) = solveQP() # use arbitrary T
while True:
max_mag = computeMaxLimits(z)
if lower_bound > max_mag: # too slow
decrease(T)
elif upper_bound < max_mag: # too fast
increase(T)
else:
return z(t)
z(t) = UpdateCoefficients(z(t), T)



\[ \begin{align} \mathbf{x}&= [\mathbf{p}, \mathbf{v}]^\top & \mathbf{u}&= [\mathbf{a}]^\top\\ \dot{\mathbf{x}} &= f(\mathbf{x}, \mathbf{u}) = [\mathbf{v}, \mathbf{a}] \end{align} \]
From differential flatness (using \(\dddot{\mathbf{p}} = \mathbf{0}, \dot{\psi}=0\)):
Controller can compensate for missing feed-forward terms for non-aggressive flight.
Differential flatness is incomplete (not all possible motions can be captured), and potentially suboptimal (optimality in the flat space, does not imply optimality in the full space)
iDb-A*: connect short motion primitives (generated by optimization on the full dynamics) and allow small “jumps”; repair with optimization


Recovery from up-side down (with low thrust-to-weight ratio).
Trajectories are represented as 8th order polynomial splines
On-board planner uses closed-form solution for goTo (given start position, velocity, acceleration, compute a single spline segment that ends at a desired position with all derivates zero)
Takeoff/Landing uses the exact same spline planner
Both have tools that generate specific C-Code from a high-level (Python) specification.
Generative and validate an aggressive trajectory, exploiting the differential flatness. For planning, use 8th-order polynomial splines that are smooth up to and including snap. For validation, propagate the actions (force, torque) generated by differential flatness using your simulator and compare the result with the expected values and your controller.
?